
Plasmid DNA extraction from bacterial culture medium using magnetic beads
Method:
The iPure Plasmid Kits use magnetic particles prepared by sandwich coating. The particles are uniform in size and have abundant surface active groups, which can efficiently recover plasmid DNA. Compared with other silica-based magnetic beads, the magnetic beads used in this kit have better dispersion and will not precipitate quickly in solution. In addition, the required magnetic beads have good suspension, which is convenient for operation and packaging.
Results:
The iPure Plasmid Kits can be divided into two product series. One series is equipped with a nucleic acid automatic extraction instrument, which can complete 2,000 samples in one day. The uniformity is good and the errors caused by manual operation are reduced. In addition, it is equipped with our company's snap-on magnetic rack. One person can process 1,000 samples of plasmid extraction in one day, which greatly saves the investment of labor costs and saves more funds.


Conclusion
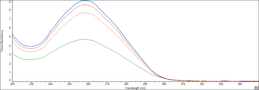
High-quality plasmid DNA, better sequencing results.
Wide application range, can extract various plasmids.
Various automated platforms, such as KingFisher FLEX/NP968.
Large throughput, 1 instrument equals 3 manual, save cost.
Save more BigDye, better sequencing results.

